1,5 Milyar Borç Var Dedi, Belediye 18 Ayda 1,1 milyarlık Mülk Sattı
Burcu-Yasin Köksal yönetimindeki Afyonkarahisar Belediyesi 18 aylık süre zarfında 1 milyar 161 milyon TL'lik gayrimenkul sattı. Belediye'nin 2025 yılı toplam bütçesi 5 milyar TL, 2026 yılı toplam bütçesi 6,7 milyar TL... Ortada heykeller, açılış törenleri, konserler ve parklardan başka bir yatırım görünmüyor. İl Özel İdaresi 2025 yılında 2,4 milyar TL'lik toplam bütçe ile yüzlerce yatırım yaptı. Belediye Meclis üyelerinin bu manzara karşısındaki tutumu merak ediliyor.
Afyonkarahisar Belediyesi’nin, son dönemde yaptığı arsa satışlarının genel yekûnu belli oldu. Burcu Köksal döneminde yapılan arsa satışlarından elde edilen gelirin 1 milyar 161 milyon TL’yi geçtiği belirtiliyor. Afyonkarahisar Belediyesi’nin 2026 bütçesi 6 milyar 774 milyon TL olarak belirlenmişti. 19 aylık görev süresi boyunca birçok gayrimenkulün satışına onay veren Afyonkarahisar Belediye Meclisi üyelerinin bu tablo karşısındaki tutumu merak ediliyor.
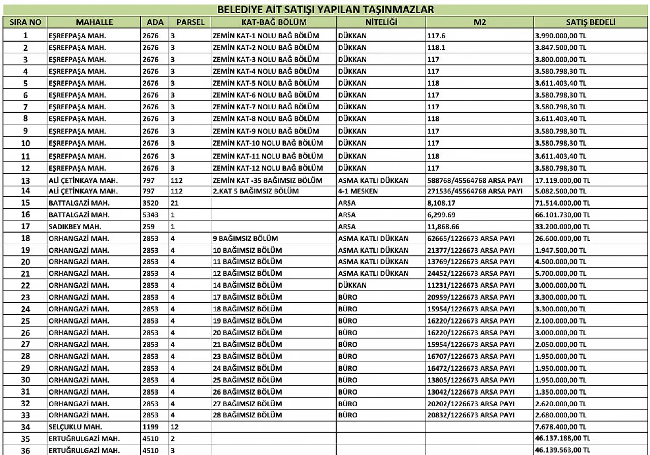
52 TAŞINMAZ SATILDI, 804 MİLYON GELİR ELDE EDİLDİ
Afyonkarahisar Belediyesi’nin Belediye Meclisi raporlarından derlenen bilgilere göre, Nisan 2024’de göreve başlayan CHP’li Belediye Başkanı Burcu Köksal’ın başkanlığı döneminde mülkiyeti Afyonkarahisar Belediyesi’ne ait toplam 52 adet taşınmazın satışı yapıldı. Bu 52 taşınmazın satış bedeli 804 milyon 806 bin TL olarak gerçekleşti.
YÜNTAŞ’A DEVREDİLEN ARSALAR 200 MİLYON
Aynı süre içerisinde Afyonkarahisar Belediyesi tarafından mülkiyeti Belediye’ye ait bulunan 6 adet taşınmaz da YÜNTAŞ’a devredildi. Bu taşınmazların toplam bedeli 200 milyon 913 bin TL olarak belirlendi.
20 ARSA SATIŞ İÇİN HAZIR BEKLİYOR
Mülkiyeti Afyonkarahisar Belediyesi’ne ait olup, fiyatı belirlendikten sonra satışa çıkartılan toplam 20 adet arsa bulunuyor. Satış için hazır bekleyen 20 arsanın toplam bedeli ise 155 milyon 521 bin TL’yi buluyor.
BELEDİYE MECLİSİ 17 ARSA İÇİN DAHA SATIŞ KARARI VERDİ
Belediye Meclisi üyeleri tarafından “satılmasına karar verilen” 17 adet arsa da satış için sırada bekliyor. Sırada bekleyen bu arsaların satış bedelleri henüz tespit edilmedi. Önümüzdeki günlerde fiyat belirleme ve ihale prosedürlerinin tamamlanmasının ardından bu 17 gayrimenkulün maddi değerleri de ortaya çıkacak.
27,5 MİLYON DOLARLIK SATIŞ YAPILDI
Henüz satışa çıkarılmamış olanlar hariç; satılan, YÜNTAŞ’a devredilen ve satışta olan toplam 76 gayrimenkulün toplam değeri 1 milyar 161 milyon TL’yi (yaklaşık 27,5 milyon dolar) geçiyor.
PANKART ASARAK “1,5 MİLYAR BORCUMUZ VAR” DEMİŞTİ
Belediye Başkanı Burcu Köksal, görevi devralır devralmaz Belediye binasına pankart asarak Afyonkarahisar Belediyesi’nin mali durumunu açıklamıştı. 3 Nisan 2024 Tarihi itibariyle Afyonkarahisar Belediyesi’nin 1 Milyar 574 milyon 884 bin 596 TL borcu olduğunu söyleyen Burcu Köksal’ın açıkladığı bu rakama AK Parti cephesinden itirazlar yükselmiş, borcun çok daha düşük olduğu dile getirilmişti.
1,1 MİLYARLIK SATIŞ YAPTI, 320 MİLYON BORÇ DURUYOR. “BORCUMUZU YÜZDE 80 AZALTTIK” DEDİ
14 Nisan 2025’de basın toplantısı düzenleyen Belediye Başkanı Burcu Köksal, “Borcumuzu yüzde 80 azalttık” demişti. Göreve geldiklerinde belediyenin borcunun 1 milyar 574 milyon 884 bin 596 TL olduğunu ve bu rakamı şehrin farklı noktalarına astıklarını hatırlatan Köksal, gelinen noktada borcun önemli ölçüde azaldığını söyledi. Köksal, “1 Nisan 2025 itibariyle borcumuz 320 milyon 450 bin 729 lira 34 kuruşa geriledi. Yani borcumuzu yüzde 80 oranında azalttık” dedi.
İL ÖZEL İDARESİ’NİN 2025 BÜTÇESİ TOPLAM 2,45 MİLYAR TL. İŞTE YAPILAN YATIRIMLAR:
2025 toplam bütçesi 6,7 milyar TL olan Belediye’nin 1,1 milyarlık mülk satışına karşılık Afyonkarahisar İl Genel Meclisi'nde Kasım ayı toplantılarında, 2025 yılı bütçesi toplam 2.45 milyar TL'lik olarak belirlendi.
İl Özel İdaresi 2025 yılında yol çalışmalarına ayrılan kaynak 571.1 milyon TL oldu. İçme suyu yatırımlarına 90.1 milyon TL kaynak aktarılırken, kanalizasyon ve atıksu yatırımlarına 58.5 milyon TL harcandı. 2025'te 68.8 milyon TL ödenerek 18 adet araç ve iş makinesi alındı. Emniyet ve jandarmaya toplam 29 adet hizmet aracı temin edildi. İl Emniyet Müdürlüğü'ne 21 araç için 21 milyon TL, İl Jandarma Komutanlığı'na 8 araç için 8 milyon TL ödenek aktarıldı. Sağlık altyapısı için 15.2 milyon TL kaynak kullanıldı. Tarımsal sulama projelerine 47 milyon TL yatırım yapıldı.
Önceki dönemlerde Paşa Camisi’nin inşası, çevresi ile birlikte 3 milyar TL’ye mal olduğu biliniyor. Karayolları Alt geçidi 14 milyon TL’ye mal olmuştu.
BELEDİYE’NİN ELİNDE KAÇ ARSA KALDI?
Önceki dönem Belediye Başkanı Burhanettin Çoban, katıldığı bir yayında “Bir buçuk yılda Belediyemizin sattığı gayrimenkuller, arsalar inanın borcumuzdan çok daha fazla. Tahminime göre şu an Belediyenin elinde kalmışsa 3-5 tane önemli sayılabilecek, değerli sayılabilecek arsa kalmıştır.” dedi.
BELEDİYE MECLİS ÜYELERİ VEBALDE
Burcu-Yasin Köksal idaresindeki CHP’li Afyonkarahisar Belediyesi’nde bunca gayrimenkul satışı yapılırken, konserler, halk lokantası, çay ücretlerinde indirim, heykel ve park açılışlarının haricinde göze çarpan bir eser olmayışı dikkat çekiyor.
Tüm Afyonkarahisar’ın ortak malı olan bu gayrimenkullerin Belediye Başkanı ve Belediye Meclisi daha görev sürelerinde 2 yılı bile doldurmadan satılmış olması karşısında Afyonkarahisar Belediye Meclisi üyelerinin tutum ve tavırları merak ediliyor.
Bakmadan Geçme





