Fakülte'den Satılık Koyun ve Dana

Afyon Kocatepe Üniversitesi koyun ve dana satacak.

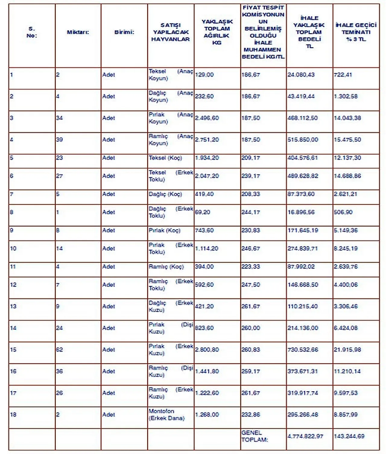
Afyon Kocatepe Üniversitesi'ne bağlı Veteriner Fakültesi Dekanlığı Araştırma ve Uygulama Çiftliği bünyesinde bulunan deney amaçlı hayvanlar gurubunda kayıtlı olan büyükbaş ve küçükbaş hayvanlardan ihtiyaç fazlası olan 327 adet canlı hayvan tahmini kg/Tl bedeli üzerinden artırma yapılmak usulü ile satılacak.

8 Aralık 2025 günü yapılacak ihalede 2 adet teksel anaç koyun, 4 adet dağlıç anaç koyun, 34 adet pırlak anaç koyun, 39 adet ramlıç anaç koyun, 23 adet teksel koç, 27 adet teksel erkek toklu, 5 adet dağlıç koç, 1 adet dağlıç erkek toklu, 8 adet pırlak koç, 14 adet pırlak erkek toklu, 4 adet ramlıç koç, 7 adet ramlıç erkek toklu, 9 adet dağlıç erkek kuzu, 24 adet pırlak dişi kuzu, 62 adet pırlak erkek kuzu, 36 adet ramlıç dişi kuzu, 26 adet ramlıç erkek kuzu ve 2 adet montofon erkek dana satılacak.Fakülte'den Satılık Koyun ve Dana

Kocatepe Gazetesi - Bizi Sosyal Medyada Takip Edin!

Bakmadan Geçme